티스토리 뷰
문제 출처 : algospot.com :: OCR
algospot.com :: OCR
광학 문자 인식 문제 정보 문제 알림: 채점 서버 속도 문제로 시간 제한을 60초로 늘리고, 테스트 케이스 수를 20으로 줄입니다. 광학 문자 인식(Optical Character Recognition)은 사람이 쓰거나 기계로 인
algospot.com
1. 문제 분석
- 이 문제에서 어려운 부분은 입력에 주어진 요구 조건을 수학적으로 풀어 쓰고 정형화 하는 부분이다.
- 또한, 원문이 생성되는 과정이 '8.16 문제 : 두니발 박사의 탈옥'에서 소개된 마르코프 연쇄 모델을 따른다.
- 마르코프 연쇄
- 유한개의 상태가 존재한다.
- 매 시간마다 상태가 변경된다.
- 어떤 상태 a에서 다른 상태 b로 옮겨갈 확률은 현재 상태 a에 의해서만 좌우된다.
- a 이전에 어떤 상태에 있었는지, 현재 시간은 얼마인지 등은 영향을 주지 않는다.
(1) 확률 계산하기
- 이 문제의 중점은 분류기로 인식한 문장 R이 주어질 때, 조건부 확률 P(Q | R)을 최대화 하는 원문 Q를 찾는 것이다.
- 조건부 확률인 P(Q | R)를 베이즈 정리에 의해 다음과 같은 식을 얻을 수 있다.
베이즈 정리 - 위키백과, 우리 모두의 백과사전
위키백과, 우리 모두의 백과사전. 확률론과 통계학에서, 베이즈 정리(영어: Bayes’ theorem)는 두 확률 변수의 사전 확률과 사후 확률 사이의 관계를 나타내는 정리다. 베이즈 확률론 해석에 따르면
ko.wikipedia.org

- 여기서 P(R)은 모든 Q에 대해 같으므로 우변의 분자 부분인 두 확률의 곱 P(R | Q)*P(Q)을 최대화 하는 Q를 찾아야 한다.
- 먼저 P(R | Q)는 원문이 Q일 때, 분류기가 R을 반환할 확률이다.
- 분류기는 각 단어별로 독립적이기 때문에 P(R | Q)를 다음과 같이 표현할 수 있다.
- M(a, b) : 단어 a를 b로 분류할 확률

- 이제 원문이 출현할 확률인 P(Q)를 구해야 한다.
- 원문은 마르코프 연쇄에 의해 생성(아마도 원문일 확률은 분류기가 인식한 단어에 의해서만 좌우되기 때문으로 추정)된다고 가정한다.
- 이 때문에, 첫 번째 단어 Q[0]이 문장 처음에 등장할 확률인 B(Q[0])과 두 번째 이후의 단어가 앞 단어 다음에 출현할 조건부 확률 T(Q[i-1], Q[i])를 모두 곱하면 된다.
- 따라서, P(Q)는 다음과 같이 표현이 가능하다.
- T(a, b) : 이전 단어가 a일 때, 다음 단어로 b가 나올 확률

- 이 때, 가상의 시작 단어 Q[-1]이 존재한다고 가정하고 항상 이 Q[-1]이 시작단어로 등장한다고 하면, B(Q[0]) = T(Q[-1], Q[0]) 이므로 ∏에 포함하여 다음과 같이 간략화 할 수 있다.(이 가상의 시작 단어는 코드로 구현할 때는 따로 의미가 없다...?)

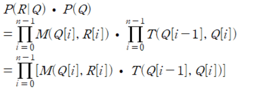
- 따라서, 맨 처음 최대화 하려고 했던 두 확률의 곱 P(R | Q)*P(Q)은 다음과 같이 표현할 수 있다.

- 이를 최대화하여 P(R)로 나눌 경우 우리가 원하는 P(Q | R)의 값을 얻을 수 있다!
- 하지만, 사실상 P(R)은 사실상 모든 경우에 동일하므로 P(R | Q) * P(Q)에 대한 계산만 해도 되는것 같다.
(2) 동적 계획법 알고리즘
- 원문 Q를 만드는 과정을 n 조각으로 잘라 각 재귀 호출마다 Q에 들어갈 단어 하나를 정한다.
- Q의 단어를 하나 정하고 나면 Q의 나머지 부분은 재귀 호출로 생성할 수 있다.
- 다음 단어가 출현할 확률(T[i, j])이 이전 단어에 의해 결정되기 때문에 재귀 호출 시 이전 단어를 인수로 전달하여야 한다.
- 이를 바탕으로 부분 문제를 정의하면 아래와 같다.
- recognize(s, p) : Q[s-1]이 p일 때 Q[s] 부터 적절하게 단어를 채워서 만들 수 있는 P(R | Q) * P(Q)의 최대치
- 부분 문제 정의를 토대로 점화식을 만들면 된다.
- recognize(s, p) = max( recognize(s+1, t) * T(p, t) * M(t, r) )
- t : Q[s]에 선택될 수 있는 단어들
- r : 분류기가 인식한 단어
2. 코드 구현 - 문제 풀이 해설 방법
(1) 문제 입-출력
# 입력의 크기가 크기 때문에 빠른 입력 방식을 위한 sys 패키지 호출 및 입력 방법 변환
import sys
input = sys.stdin.readline
# 확률을 그대로 사용하면 언더플로가 발생할 수 있으므로 로그값을 이용하기 위해 math 패키지 호출
import math
INF = int(1e200) # 무한대 설정
# m : 원문에 출현할 수 있는 단어의 수
# q : 처리해야 할 문장의 수
m, q = map(int, input().split())
# 원문에 출현하는 단어 목록
origin_words = input().split()
# B[i] = i번 단어가 첫 단어로 출현할 확률
B = list(map(float, input().split()))
# T[i][j] = i번 단어의 다음 단어가 j번 단어일 확률(로그값으로 치환)
T = []
for i in range(m):
T.append(input().split())
for j in range(m):
if float(T[i][j]) != 0.0:
T[i][j] = math.log10(float(T[i][j])) # 로그값으로 치환
else:
T[i][j] = -INF
# M[i][j] = i번 단어를 j번 단어로 인식할 확률(로그 값으로 치환)
M = []
for i in range(m):
M.append(input().split())
for j in range(m):
if float(M[i][j]) != 0.0:
M[i][j] = math.log10(float(M[i][j])) # 로그값으로 치환
else:
M[i][j] = -INF
cache = [[1] * 502 for _ in range(102)]
choice = [[None] * 502 for _ in range(102)]
for _ in range(q):
recognized = input().split()
n = int(recognized[0])
recognized_sentence = recognized[1:]
# 분류기가 반환한 문장 중 단어들을 원문의 단어 번호로 대체하여 저장
R = []
for word in recognized_sentence:
R.append(origin_words.index(word))
recognize(0, 0)
print(reconstruct(0, 0))
- 실제 확률을 사용할 경우 값이 너무 작아져 언더플로가 발생할 수 있기 때문에 로그값으로 치환
- 로그값을 사용할 경우 실제로 확률을 곱하는 것이 아닌 확률의 로그를 취한 값들을 더해서 계산이 가능하다.
- 리스트 choice는 원문을 역산하는 과정에서 필요한 저장 공간으로 이전 단어에 영향을 받아 segment째에 등장할 수 있는 가장 확률 높은 단어의 인덱스를 저장한다.
(2) recognize(segment, previousMatch)
# Q[segment] 부터 채워서 얻을 수 있는 최대 g() 곱의 로그 값을 반환
# Q[segment - 1] == previousMatch라고 가정함
def recognize(segment, previousMatch):
if segment == n:
return 0
if cache[segment][previousMatch] != 1:
return cache[segment][previousMatch]
cache[segment][previousMatch] = -INF # log10(0)은 음의 무한대
# R[segment]에 대응되는 단어 찾기
for thisMatch in range(m):
# log로 변환된 확률이기 때문에 곱이 아닌 합 연산을 한다.
# M[thisMatch][R[segment]]를 M[previousMatch][R[segment]]로 적는 실수함...
candid = T[previousMatch][thisMatch] + M[thisMatch][R[segment]] + recognize(segment + 1, thisMatch)
if cache[segment][previousMatch] < candid:
cache[segment][previousMatch] = candid
choice[segment][previousMatch] = thisMatch # 역추적을 통해 원문 계산을 위해 별도로 단어의 인덱스를 저장
return cache[segment][previousMatch]
- 이전 단어에 따라 특정 단어가 등장할 확률의 로그 값 + 현재 단어를 분류기가 인식할 확률의 로그값을 더하고 재귀호출을 통해 다음 단어들에 대해 반복적으로 합산
- 그 값의 최대값을 cache에 저장하여 반환한다.
- 또한 최댓값이 나오는 단어의 인덱스를 원문 단어를 추적하기 위해 별도로 리스트 choice 에 저장한다.
(3) reconstruct(segment, previousMatch)
# 실제 원문 역산으로 구하기
def reconstruct(segment, previousMatch):
choose = choice[segment][previousMatch]
result = origin_words[choose]
if segment < n-1:
result = result + " " + reconstruct(segment + 1, choose)
return result
- choice에서 저장된 이전 단어에 따라 출현할 수 있는 segment에 등장할 수 있는 단어의 인덱스를 토대로 차례로 연결하여 반환
3. 후기
이번 문제는 너무한다. 프로그래밍 대회가 아닌 기업 코딩테스트에서 이런 문제를 낼까하는 문제였다. 일단 확률에 대한 개념이 없으면 해결할 수도 없고 확률을 로그값으로 치환하여 문제를 해결하는 것 역시 경험이 없으면 생각할 수 없을 것 같다. 그리고 사실 문제를 몇 번씩 읽긴 했지만 아직도 완벽하게 이해하진 못 했다.... 덕분에 이 글을 읽는 사람들이 있다면 설명이 뭔가 난해하고 많이 빠진 부분이 많아 이해하기 어려울 것 같다는 생각이 든다. 아무래도 코드는 생각보다 안 복잡한데 진행 과정과 cache 및 choice의 저장 방식이 조금 난해해서 참고 자료가 없으면 다시 풀어도 혼자서는 못 풀거 같다...
아무래도 8장까지는 자신감이 조금 붙어가는 상태였다면 9장 부터는 점점 벽을 느끼고 있다. 그래도 또 행복회로를 돌려서 이 벽만 넘으면 다시 자신감이 생기지 않을까 하는 기대를 해본다ㅠ
LeeSeok-Jun/Algorithmic_Problem_Soving_Strategies
프로그래밍 대회에서 배우는 알고리즘 문제해결 전략. Contribute to LeeSeok-Jun/Algorithmic_Problem_Soving_Strategies development by creating an account on GitHub.
github.com
'프로그래밍 대회에서 배우는 알고리즘 문제해결 전략 > 9장_동적 계획법 테크닉' 카테고리의 다른 글
| 9.9 문제 : 드래곤 커브(Python) (0) | 2021.05.10 |
|---|---|
| 9.7 문제 : k번째 최대 증가 부분 수열(Python) (0) | 2021.05.06 |
| 9.6 예제 : 모스 부호 사전(Python) (0) | 2021.05.04 |
| 9.2 문제 : 여행 짐 싸기(Python) (0) | 2021.04.21 |
| 9.1 예제_최적화 문제의 실제 답 계산하기_최대 증가 부분 수열 실제로 출력하기(Python) (0) | 2021.04.16 |
- Total
- Today
- Yesterday
- 비트 마스크
- k번째 답 계산하기
- 파이썬
- 구현
- 프로그래밍 대회에서 배우는 알고리즘 문제 해결 전략
- 프로그래머스
- 그리디
- 난이도:중
- 마르코프 연쇄
- 난이도:하
- 동적 계획법
- 프로그래밍 대회에서 배우는 알고리즘 문제해결 전략
- 프로그래밍 대회에서 배우는 알고리즘 문제해결전략
- 탐욕법
- python
- 종만북
- 카카오
- 난이도:상
| 일 | 월 | 화 | 수 | 목 | 금 | 토 |
|---|---|---|---|---|---|---|
| 1 | 2 | 3 | 4 | 5 | 6 | |
| 7 | 8 | 9 | 10 | 11 | 12 | 13 |
| 14 | 15 | 16 | 17 | 18 | 19 | 20 |
| 21 | 22 | 23 | 24 | 25 | 26 | 27 |
| 28 | 29 | 30 | 31 |